Influence Area v/s Trip and Access/Egress Mode Choice
The reported ranges of actual path/geometrical access/ egress distances to stations/stops by type (typical/transfer/ terminal) and location (inner/peripheral) in a bounded (by city boundaries) network service area of various modes; are fairly in accordance with the conceptual range (Fig. 10 and Table 03) based on geometry. The reported distances suggest that access/egress distances are within the space delineated by geometrical limits (i.e. space bound by radials, along cardinal and secondary intercardinal directions, or; intercardinal and secondary intercardinal directions) and thus are not likely to significantly alter the desired direction of travel.
This suggests that, perhaps, the access and egress modes of public transport and respective distances to stops/stations are governed by city size and trip length between first origin location and last destination location, and; mode choice (among different personalized modes) for direct travel between these two locations, and; travel time and travel cost of the respective modes, prevailing in the city, on each associated leg of the trip.
Travel Times and Costs
That is, the access/egress distances are dependent on the travel time difference between any two locations by a direct (base) mode and the sum of travel times of access/egress modes and PT. PT could be the choice mode when the later, i.e., total travel time is at most equal to or lower than the former and the same can be represented as:
Using this relationship between distance, speed and time and then multiplying by sa Eqn. 10 can be rewritten as:
And, the access/egress distances are also dependent on travel cost difference between any two locations by a direct (base) mode and the sum of travel costs by access/egress modes and PT. PT could be the choice mode when the later, i.e., total travel cost is at most equal to or lower than the former and the same can be represented as:Using this relationship between distance, rate and cost, and then dividing by ra Eqn. 12 can be rewritten as:
Travel Time based Access and Egress Limits
Limiting Travel Times
The relationship between access and egress distances and PT trip length was examined by different studies, as stated earlier, and observed to be both positive and negative, which perhaps, is due to the existence of two discriminant PT trip time groups. This is explained by the definition of ICR [33] and its range of values, between 0 and 1, splitting in to two groups, that are less than 0.5, in the first, and; greater than 0.5, in the second.
Eqn. 14 suggests that ICR evaluates to values between 0 and 0.5 when sum of access and egress times is at most equal to PT travel time (TAELETP):
and; evaluates to values between 0.5 and 1.0 when sum of access and egress times is at the least equal to PT travel time (TAEGETP):
Eqns. 10 and 15 suggest the following three cases:
Eqns. 16b and 16c suggest, neither of the two components of total travel time by PT (Eqn. 16a) are equal to half of the effective total travel time (base travel time minus the savings in travel time) but add up to effective total travel time. Further, as the access and egress travel times decrease (from a value lower than half of the effective total travel time) to nil, travel time by PT mode (higher than half of the effective total travel time) would increase to effective total travel time and vice versa. That is, when access and egress travel times are nil (i.e., PT mode is available at both origin and destination nodes of a trip), the travel time by PT mode would be same as the effective total travel time.
In this case (Case-1b), the two components of total travel time by PT have similar characteristics as in Case-1a except for the fact that they add up to base travel time.
That is, in this case, the two components of total travel time by PT are same and are equal to half of base travel time with no travel time savings.
In this case, as in Case-1a, Eqns. 16k and 16l suggest, neither of the two components of total travel time by PT (Eqn. 16j) are equal to half of the effective total travel time but add up to effective total travel time. Further, as the access and egress travel times increase (from a value higher than half of the effective total travel time) to effective total travel time, travel time by PT mode (lower than half of the effective total travel time) would decrease to nil and vice versa. That is, when access and egress travel times are same as effective total travel time, the travel time by PT mode would be nil. This indicates shared (on route pickup or transfer between vehicles) or pooled direct travel by personalized vehicles. This possibility suggests, at certain access and egress travel time higher than half of the effective total travel time, PT usage will only be in exceptional circumstances or results in a switch to personalized modes (alternate, shared, pooled or base).
In this case (Case-3b), the two components of total travel time by PT have similar characteristics as in Case-3a except for the fact that they add up to base travel time.
In all the three cases, the two components of total travel time by PT seesaw around half of effective total travel time or half of the travel time by base mode (when the two components are equal) with one increasing while the other is decreasing.
Also, rearranging Eqn. 10 and adding to Eqn. 15a shows access/egress times in relation with only direct mode.
Eqn. 17 combines the two cases, Case-1 and Case-2. As the users normally prefer to deviate as little as possible from the base direction of travel, for PT usage, it may be appropriate to consider half of travel time by base mode as the limiting time for access and egress activities. Limiting access and egress distances by the respective modes can be estimated based on Eqns. 10a and 17 and thus PT distances using Eqns. 16 corresponding to TAELETP group.
And, adding Eqn. 15b to rearranged Eqn. 10 shows that public transport time is also related with only direct mode.
Eqn. 18 combines the two cases, Case-2 and Case-3, giving the upper limit of travel time by PT mode when this time is less than or equal to access and egress travel times. Thus, the maximum possible distances by PT mode, in this case, can be estimated based on Eqns. 10a and 18 and thus access/egress distances using Eqns. 16 corresponding to TAEGETP group.
Limiting Access/Egress Travel Distances
Using the relationship between distance, speed and time, Eqn. 17 can be rewritten as:
Where,
Sae - Average travel speed of access and egress modes is
with two possible sets of distances – desirable and acceptable – based on harmonic mean (HM) and arithmetic mean (AM) of speeds for a mix of access and egress modes associated with a PT trip considering the fact that HM is less than or equal to AM.
Eqn. 19a suggests that
Eqns. 20a and 20b imply:Eqns. 20a to 20c estimate the share of access and egress distances to the total resulting in the estimation of limits of access and egress distances based on Eqn. 19b.
Thus, limiting access and egress distances are:
Desirable Limiting Distances for Access-Egress Mode Mix (HM Speed):
Harmonic Mean Speed
Eqns. 21a and 22a result in limiting access distance of:
Eqns. 21b and 22a result in limiting egress distance of:
Sum of limiting access and egress distances is:
Arithmetic Mean Speed
The definition of an average (AM and HM and their relationship) and the relationship between access and egress speeds govern the relationship between different estimates of desirable and acceptable access/egress distances:
Eqns. 24 suggest:
Eqns. 25 suggest that the limiting distances of higher speed modes (access or egress) in a mix of access and egress modes would be higher in relation to the limiting distance of the other mode. Further, desirable access and egress distance limits would be HM based.
Eqns. 21 suggest that access (or egress) distance is relative to egress (or access) as the case may be. The relativity in access or egress distances suggest the limiting access (egress) distances for a particular access (egress) mode would vary with the pairing egress (access) mode in an access/egress mode mix.
Case-3 is a combined scenario of the first two cases. That is, the left part of the expression relative to Sa performs as Case-1 and the right part of the expression would perform similar to Case-2.
AM based limiting distances for alternate mix of same access and different egress modes are:
AM - Access Distance Limits:
This holds for both the cases, Case-1 and Case-2.
AM - Egress Distance Limits:
HM based limiting distances for alternate mix of same access and different egress modes are:
HM - Access Distance Limits:
HM - Egress Distance Limits:
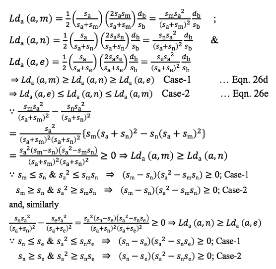
In the case, access and egress modes are same, that is, same mode mix, the limiting access distance would be same as that estimated in Eqn. 26a whether estimated based on AM or HM. Eqns. 26(d/e) suggest that the same mode mix limiting access distance of a particular mode would be maximum relative to the estimated limiting access distances of the particular mode in any alternate mix with other egress modes. So, the maximum limiting access distance of a mode is the one that is estimated considering the AM of speeds of access and egress modes. That is, a range of limiting access distances (based on HM of Speeds) exist for any particular mode ‘a’ based on ‘a-x’ mode mix.
Eqns. 26(b/c) and 26(f/g) suggest that the estimated limiting egress distances in any ‘x-y’ mode mix of access and egress modes, the estimated limiting egress distances would be higher for modes with higher speeds.
Further, access distance of an onward trip would be egress distance of the return trip and; correspondingly the egress distance would be the access distance. So would be the limiting access and egress distances.
Travel Cost based Limiting Access/Egress Distances
Similarly, the access and egress limiting distances may be estimated by considering travel cost (Eqn. 12) and by defining ICR (Eqn. 27), in travel cost terms, with properties similar to the one in travel time terms (Eqn. 14).
Considering equations in travel cost terms similar to Eqns. 15 which are in travel time terms and Eqns. 12 and 27, it can be shown:
Using the relationship between distance, rate and cost, Eqn. 28 can be rewritten as:
with two possible sets of distances – desirable and acceptable – based on harmonic mean (HM) and arithmetic mean (AM) of rates for a mix of access and egress modes associated with a PT trip considering the fact that HM is less than or equal to AM.
Eqn. 29a suggests that
Eqns. 30a to 30c estimate the share of access and egress distances to the total resulting in the estimation of limits of access and egress distances based on Eqn. 29b.
Thus, limiting access and egress distances are:
Acceptable Limiting Distances for Access-Egress Mode Mix (HM Rates):
Harmonic Mean Rate
Eqns. 31a and 32a result in limiting access distance of:
Eqns. 31b and 32a result in limiting egress distance of:
Sum of limiting access and egress distances is:
Desirable Limiting Distances for Access-Egress Mode Mix (AM Rates)
Arithmetic Mean Rate
Eqns. 31a and 33a result in limiting access distance of:
Eqns. 31b and 33a result in limiting egress distance of:
Sum of limiting access and egress distances is:
The desirable limiting distances for different access-egress mode mix, in this case, would be those that are estimated considering the AM of access and egress rates (monetary) unlike the travel time based corresponding estimates based on HM. And, acceptable limiting distances, would be those that are estimated considering the HM of access and egress rates (monetary). This is based on the definition of AM and HM of rates (monetary) and their relationship.
Relationship between Different Travel Cost based Limiting Distances of Access-Egress Mode Mix
Eqns. 34a to 34d suggest:
Overall Limiting Access and Egress Distances
Sets of; desirable, acceptable and tolerable; access/egress limiting distance estimates, in terms of travel time, travel cost and overall, by base mode car, for trip length 30, and; all those limits for base trip lengths ranging between 5 and 30 for all motorized base modes are given in Appendix-1a.
PT users prefer to deviate as little as possible from the base direction of travel (door-to-door) between an origin and a destination, and; consider travel time or travel cost or both for PT mode choice.
A set of three, circular influence areas (of radii equal to the limiting distances), for a PT node (PTN - stop/station) on a PT network, by a particular base mode for the base trip length from FO to LD (TGN – trip generating nodes), for a particular access mode ‘ai’, in relation to all egress modes ‘ej, j = 1, k’, in ‘ai-ej’ mode mix including itself, are defined considering desirable limiting distances in travel time terms based on HM speeds and/or, in travel cost terms based on AM rates.
Minimum, average and maximum of the set of desirable limiting distances of ‘ai-ej, j=1, k’ mode mix for access mode ‘ai’ are respectively defined as desirable, acceptable and tolerable access and egress distances; for a base mode, base trip length pair; considering travel time or travel cost.
Overall limiting access and egress distances, based on travel time and travel cost, for a particular access mode ‘ai’, for each egress mode ‘ej’, in ‘ai-ej, j=1, k’ mode mix including itself are defined as:
Where,
Ldao - Overall limiting access distances for an access mode ai corresponding to each egress mode ej for an access-egress mode mix ai-ej
Ldeo - Overall limiting egress distances for each egress mode ej corresponding to an access mode ai for an access-egress mode mix ai-ej
DLdat & DLdac - Desired limiting access distances based on time and cost for an access-egress mode mix ai-ej
DLdet & DLdec - Desired limiting egress distances based on time and cost for an access-egress mode mix ai-ej
Therefore, the overall set of desirable, acceptable and tolerable access and egress distances are defined as:
Where,
DLd, ALd, TLd – Desirable (minimum), Acceptable (arithmetic mean) and Tolerable (maximum) limiting distances for each access or egress mode
PTN influence zone (PIZ) is a set of three PTN-centered concentric circles with radii equal to desirable, acceptable and tolerable distances considering travel time or cost or both for a base mode, base trip length and access or egress mode triple.
PT attracting zone (PAZ) for a TGN is a set of three TGN-centered concentric circles with radii equal to desirable, acceptable and tolerable distances considering travel time or cost or both for a base mode, base trip length and access or egress mode triple.
Travel Expenditure per Unit of Time
It may be observed that rates (cost per unit of distance) of access/egress modes in the estimates of corresponding distances (Eqns. 31 to 33) occur in the denominator and division by zero is a possibility while considering walk and cycle (no cost) modes that are environmentally sustainable and active modes (i.e. associated with physical human effort) for access/egress activities.
A three-component generalized cost approach to aid in the understanding of travel behavior, comprising effort in addition to time and money that are normally considered, was thought to have an impact on the travel demand. So, in addition to the socio-economic value (from alternate activity) of time spent (i.e., duration) in travel, the effort parameter was included into the time component to consider such aspects as pleasantness (e.g., comfort, safety etc.) or unpleasantness (e.g., physical effort, overcrowding, etc.) associated with travel. The effort spent in an activity is the product of rate of expenditure of effort per unit of time and the duration (time) for which it is exerted [35].
Speed of a mode is a result of mechanical or human effort effected by a fuel source. In the case of motorized modes quantum of fuel consumed is specifically for their usage and is valued and charged accordingly reflecting in the monetary rates (cost per unit distance travelled).
In the case of walking and cycling, fuel (food) costs of humans is not easily separable between general human activity requirements and the requirement related to motion (or travel); although, it is known in detail that the dietary requirements vary with variations in physical effort and specified accordingly for different occupations.
The charges (cost per unit of distance) for these modes may be quantified by considering the speeds (physical effort) of walking and cycling.
For, expenditure (or cost) per unit of travel time (not social value of time) is obtained by dividing Eqn. 12a with 10a:
Harmonic Mean (H.M.) of expenditure per unit of travel time of all access/egress modes with known speeds and rates (cost per unit of distance) may be considered as the expenditure per unit of travel time of cycle and walk as access/egress modes. Thus, considering the estimated H.M. and; cycling and walking speeds (physical effort); rates (cost per unit of distance) for these modes can be estimated using Eqn. 37 for use in Eqns. 32 and 33.
Thereby, division by zero can be eliminated by estimating (a notional) cost per unit of distance (substitute for physical effort likely to be expended) for these modes; considering the definitions of speed and monetary rate.
Access/Egress Distances and Public Transport Type
The most common reason for users not using public transport is, it is not a door-to-door or a direct service apart from other reasons. But a public transport service will be nearly a door-to-door service for the users with a trip origin and destination within an acceptable radius of, say, 50m to 75m, from the respective stop(s)/station(s), depending on a user’s perception or those trips of the type T1 (Fig-02).
Also, desirable, acceptable and tolerable limiting access/ egress distances defined in Eqns. 36 are to PT with no distinction between PT mode types. This is addressed by considering one of the PT modes in an urban area as the base mode and the other(s) is (as a set are) the PT option.
So, Eqns. 21 are re-written to estimate the limits of access/ egress distances for such users of metro and bus, assuming one of them as a base mode and the other as the public transport option.
Metro (base mode) & Bus (PT option): Limiting access and egress distances [Ldx(B) , x = a, e] of other modes to bus (i.e., alternate PT) based on Eqns. 21 are:
Bus (base mode) & Metro (PT option): Limiting access and egress distances
So, the ratio of access/egress distances to bus and to metro based on travel time will be:Usually, bus speeds are lower than that of metro speeds. So, Eqn. 38e indicates that limits of access/egress distances to/from bus stops based on travel times are lower than that from/to metro stations for the same base/direct trip length.
BRT speeds are higher than bus speeds and lower than metro speeds. So, the access/egress distance limits to BRT services will be in between that of bus and metro services.
Thus, the limits of access/egress distance estimates (based on Eqns. 21 to 23) for base/direct trips by any mode apply to the fastest PT mode service available in a study area.
Likewise, the limits of access/egress distance estimates (based on Eqns. 21 to 23) for base/direct trips by a particular PT mode (e.g., BRT) apply to the fastest of the other PT modes (e.g., Metro and Bus) serving a study area.
Applying a multiplication factor, the ratio of speeds (such as in Eqn. 38e) – of the fastest and lower speed PT modes – the limits of access/egress distances to the lower speed PT services can be obtained.
The relationship of the limits of the access/egress distances of different forms of PT is compatible with the observation in the literature [16 and 26] that access/egress distances to high density PT networks with large number of pickup/drop nodes (i.e., lower speed PT modes with shorter stop spacing) is lower than that of low density networks with few number of pickup/drop nodes (i.e., higher speed PT modes with larger stop spacing).
Rapid Rail Transit Systems (RRTS) with speeds of 160 km/h and station spacing of 5+ kms are being planned in the NCR (National Capital Region) of NCTD (National Capital Territory of Delhi) to cater to the regional commuter traffic. That is, the trip lengths by base/direct mode and also this form of PT (approximately varying between 100 to 200 kms route length) would be higher than that of other forms of PT (approximately <= 40 kms route length) serving an urban area being a regional service. Thus, the limits of the access/egress distances of high-speed RRTS would be higher than lower speed PT systems.
Model-based estimates of limits of access/egress distances of RRTS of motorized modes would perhaps be acceptable from user and planning perspectives, but that of active modes may perhaps need the consideration of appropriate constraints for user acceptability. One option may be to consider the limits of access/egress distances of active modes of a metro system (or more precisely corresponding to largest trip length – 30/40-km – of the fastest PT mode – bus/BRT/LRT/Metro – services in the largest urban area served by the same RRTS).
Similarly, the ratio of limiting access/egress distances to bus and to metro based on travel cost (corresponding to Eqns. 38a to 38d based on Eqns. 31) will be:
Usually, bus rates are lower than that of metro rates. So, Eqn. 38f indicates that limits of access/egress distances to/from bus stops based on travel costs are higher than that to/from metro stations for the same base/direct trip length.Limiting access/egress distances of other modes to bus and metro stops/stations would be different based on travel time and travel cost. That is,
However, on filtering limiting access and egress distances based on travel time and travel cost considering Eqns. 36a and 36b and; defining filtered as desirable, acceptable and tolerable limiting access and egress distances considering Eqns. 36d to 36e; result in, only one set of limiting access/ egress distances and a unique equation like Eqns. 38e/38f.Usually, suburban rail and metro networks (elevated/ underground rail-based modes), have lower density compared to bus/BRT networks (or road-based modes) resulting in higher access/egress distances associated with metro networks and lower with bus networks.
PT availability (by mode type) and location of PT nodes and traveler’s location relative to the PT network has a role in the PT mode choice. That is, PT node influence area and PT attraction zone, and; other parameters, not include in the model, such as travel comfort and safety, access and egress convenience to/from stops and/or stations (at surface level, underground or elevated etc.).
Access/Egress Distances and Base Mode Speed Range
Average speeds of car, for example, ranged between 17 and 23 km/h in Delhi, between 1994 and 2015 as stated earlier in the Section, “Travel Characteristics”. It is also well known that speeds vary over different periods of time – peak/non-peak, morning/evening, daytime/nighttime, etc. – in a day as also in different areas of a city. This suggests that access/egress distances could be different in different time periods and in different areas of a city. So, Eqn. 21 may be re-written to estimate the limits of access/egress distances [Ldx (y), x = a, e ; y = m(min.speed), M(max.speed)] for extreme speeds of base mode.
Limiting Access Distances (Extreme Base Mode Speeds):
Limiting Egress Distances (Extreme Base Mode Speeds):
So, the ratio of access/egress distances at maximum speed of base mode to those at minimum speed will be:
Eqn. 39e suggests that the limits of access/egress distances would be decreasing with increasing speeds of base mode.
Low patronage of public transport is generally observed in peripheral areas of a city or in urban sprawls (i.e. low-density areas). Characteristics of such areas are that most of the trip generating units in them are spread far and wide and; traffic speeds are high. These together with Eqn. 39e explains the reason for low patronage of public transport in such areas as most of the trip generating units would be beyond the tolerable limits of access/egress distances.
Similarly, the ratio of access/egress distances at maximum rate of base mode to those at minimum rate will be:
Eqn. 39f suggests that the limits of access/egress distances would be increasing with increasing rates of base mode.
This explains increase in PT patronage during periods of surges in transport fuel price. That is, tolerance to access PT from longer distances increases or in other words limits of influence area extends post transport fuel price surge.





























































No comments:
Post a Comment